芯城品牌采购网 > 品牌资讯 > 全部资讯

无源元件定义如果电子元器件工作时,其内部没有任何形式的电源,则这种器件叫做无源器件。从电路性质上看,无源器件有两个基本特点:(1)自身或消耗电能,或把电能转变为不同形式的其他能量。(2)只需输入信号,不需要外加电源就能正常工作。无源元件种类电子系统中的无源器件可以按照所担当的电路功能分为电路类器件、连接类器件。1、电路类器件(1)二极管(diode)(2)电阻器(resistor)(3)电阻排(r

芯城品牌采购网

8314

射频简介射频(RF)是RadioFrequency的缩写,表示可以辐射到空间的电磁频率,频率范围从300kHz~300GHz之间。射频就是射频电流,简称RF,它是一种高频交流变化电磁波的简称。每秒变化小于1000次的交流电称为低频电流,大于10000次的称为高频电流,而射频就是这样一种高频电流。射频(300K-300G)是高频(大于10K)的较高频段,微波频段(300M-300G)又是射频的较高频

芯城品牌采购网

13111

2512贴片电阻命名方法国内贴片电阻的命名方法:1、5%精度的命名:RS-05K102JT2、1%精度的命名:RS-05K1002FTR-表示电阻S-表示功率0402是1/16W、0603是1/10W、0805是1/8W、1206是1/4W、1210是1/3W、1812是1/2W、2010是3/4W、2512是1W。05-表示尺寸(英寸):02表示0402、03表示0603、05表示0805、06

芯城品牌采购网

9354

端子-芯城品牌采购网

端子定义公端子(阳端子)=一般为公连接器所匹配的端子[英文名一般Plug,Tab,Maleterminal]母端子(阴端子)=一般为母连接器所匹配的端子[英文名一般叫Socket,Receptacle,femaleterminal]端子种类端子的种类繁多,有:接线端子、环形接地端子、带扣端子、带锁端子、护套端子、半绝缘端子、插簧端子、不锈钢端子、U型端子、保险丝端子、直型端子、自锁端子、直角端子、

芯城品牌采购网

12799

BJT原理BJT是由2块N型半导体中间夹着一块P型半导体所组成,发射区与基区之间形成的PN结称为发射结,而集电区与基区形成的PN结称为集电结,三条引线分别称为发射极e、基极b和集电极。当b点电位高于e点电位零点几伏时,发射结处于正偏状态,而C点电位高于b点电位几伏时,集电结处于反偏状态,集电极电源Ec要高于基极电源Ebo。在制造BJT时,有意识地使发射区的多数载流子浓度大于基区的,同时基区做得很薄

芯城品牌采购网

11624

DC-DC转换器工作原理什么是DC呢?它表示的是直流电源,诸如干电池或车载电池之类。家庭用的220V电源是交流电源(AC)。若通过一个转换器能将一个直流电压(3.0V)转换成其他的直流电压(1.5V或5.0V),我们称这个转换器为DC-DC转换器,或称之为开关电源或开关调整器。A:DC-DC转换器一般由控制芯片,电感线圈,二极管,三极管,电容器构成。在讨论DC-DC转换器的性能时,如果单针对控制芯

芯城品牌采购网

10060

电缆-芯城品牌采购网

电缆简介1、由一根或多根相互绝缘的导体和外包绝缘保护层制成,将电力或信息从一处传输到另一处的导线。2、通常是由几根或几组导线(每组至少两根)绞合而成的类似绳索的电缆,每组导线之间相互绝缘,并常围绕着一根中心扭成,整个外面包有高度绝缘的覆盖层。电缆具有内通电,外绝缘的特征。电缆有电力电缆、控制电缆、补偿电缆、屏蔽电缆、高温电缆、计算机电缆、信号电缆、同轴电缆、耐火电缆、船用电缆、矿用电缆、铝合金电缆

芯城品牌采购网

9350

MCU简介微控制单元(MicrocontrollerUnit;MCU),又称单片微型计算机(SingleChipMicrocomputer)或者单片机,是把中央处理器(CentralProcessUnit;CPU)的频率与规格做适当缩减,并将内存(memory)、计数器(Timer)、USB、A/D转换、UART、PLC、DMA等周边接口,甚至LCD驱动电路都整合在单一芯片上,形成芯片级的计算机,

芯城品牌采购网

14631

BHZ51防爆组合开关产品特点1、铝合金外壳,表面喷涂。2、内装转换开关可作为电源开关,也可控制电机的起动、变速、换向、停止等。3、钢管或电缆布线。4、符合GB3836-2000、IEC60079、GB12476.1-2000、IEC61241标准要求。BHZ51防爆组合开关技术参数型号:BHZ51额定电压:220v、380v防护等级:IP65BHZ51防爆组合开关适用范围1、1区、2区爆炸性气体

芯城品牌采购网

6353

BIOS芯片介绍BIOS程序是由芯片工厂使用特殊的方法烧录进去的,以前的BIOS芯片中的内容只能读不能改,一且烧录进去,用户只能验证写入的资料是否正确,不能再作任何修改。后来,芯片慢慢从PROM(ProgrammableROM,可编程ROM)、EPROM(ErasableProgrammableROM,可擦除可编程ROM)、EEPROM(Electrically-EiasableProgramma

芯城品牌采购网

10389

半导体分立器件简介电子产品根据其导电性能分为"导体"和"绝缘体"半导体介于"导体"和"绝缘体"之间,半导体元器件以封装形式又分为“分立”和“集成”如:二极管、三极管、晶体管等。半导体分立器件型号命名方法(中国)中国半导体分立器件型号的命名方法中国晶体管和其他半导体器件的型号,通常由以下五部分组成:第一部分:用阿拉伯数字表示器件的有效电极数目.例如:3AX81-81的3第二部分:用汉语拼音字母表示器

芯城品牌采购网

8820

CHM脉冲电容器特征用途1.金属外壳全密封结构,体积小,重量轻。2.适用于冲击电流发生器,激光设备,避雷针测试设备等线路中。CHM脉冲电容器技术性能指标1.损耗角正切:≤0.012.环境温度:-40℃~55℃3.额定电压:1KV~80KV4.标称电容量:0.1µF~1000µF5.电容量允许偏差:±5%;±10%结构和外形尺寸由供需双方商定。编号额定电压KV

芯城品牌采购网

13891

0402精密电阻分类精密电阻按材料分,有金属膜精密电阻、线绕精密电阻和金属箔精密电阻几类。金属膜精密电阻的精度较高,但阻值温度系数和分布参数指标略低;线绕精密电阻的阻值精度和温度系数指标很高,但分布参数指标偏低;金属箔精密电阻的精度、阻值温度系数和分布参数各项指标都很高:精度可达10-6,温度系数可达±0.3×10-6/℃,分布电容可低于0.5pF,分布电感可低于0.1μH。由于上述三类精密电阻器

芯城品牌采购网

9521

锂电池-芯城品牌采购网

锂电池简介“锂电池”,是一类由锂金属或锂合金为负极材料、使用非水电解质溶液的电池。1912年锂金属电池最早由GilbertN.Lewis提出并研究。20世纪70年代时,M.S.Whittingham提出并开始研究锂离子电池。由于锂金属的化学特性非常活泼,使得锂金属的加工、保存、使用,对环境要求非常高。随着科学技术的发展,现在锂电池已经成为了主流。锂电池分类锂电池大致可分为两类:锂金属电池和锂离子电

芯城品牌采购网

10222

BEI编码器简介BEI编码器是由法国BEIIDEACOD专业生产的,BEI编码器将位置、位移、速度或者是加速度转换成可被控制器或PLC读取的数码值。不同安装设置的编码器类型齐全:实心轴、空心轴(盲孔)、空心轴(通孔),它们通过光电码盘将物理值转换成电子信号。编码或者由脉冲生成(增量型编码器),或者通过绝对位置生成(绝对值编码器)。BEI测速编码器和BEI光电编码器提供一个模拟输出,与码盘阅读频率和

芯城品牌采购网

8340

5v2a电源适配器结构参数1.外壳外壳尺寸:L75*W38*H29mmL:L75*W38*H29mm2.输出线DC线:AWM246424AWG*2C,VW-1,80℃,FT1,300V,线上有字,总1.5米,带磁环,输出线5.5*2.1*10MM5v2a电源适配器保护功能1.短路电路保护:该电源供给器在短路解除时,能正常工作恢复。2.过流保护过流故障排除后,电源将自动恢复正常工作。3.过压保护当输

芯城品牌采购网

5532

BGA返修台特点1、嵌入式Windows系统、PLC人机界面控制,实时显示三条实际温度曲线和五条测试温度曲线;2、吸嘴任意角度旋转控制;3、高清彩色光学对位系统,可自动或手动对焦,22倍光学变焦;4、光学对位系统可左右、前后移动,扩大对位观察范围;5、上部加热风头与贴装吸嘴一体式设计,自动对位、贴装、焊接、拆卸;6、采用两个热风、一个IR,共三个独立加热温区控制,温度控制更准确;7、三个独立加热温

芯城品牌采购网

9810

5w大功率全彩RGB灯珠产品简介5w全彩RGB灯珠是大功率led光源的一种,由三基色(红、绿、蓝)构成,芯片采用进口高亮芯片,含红光芯片、蓝光芯片、绿光芯片。功率上主要有3W和5W,市场上主要用来做RGB射灯。5w大功率全彩RGB灯珠使用建议为了更好发挥LED产品的性能,保障客户使用过程中少出故障,特提出以下安装使用建议,仅供参考,大功率LED产品及器件在应用过程中散热静电防护焊接对其特性有着很大

芯城品牌采购网

5370

滤波器-芯城品牌采购网

滤波器简介滤波器是一种选频装置,可以使信号中特定的频率成分通过,而极大地衰减其他频率成分。利用滤波器的这种选频作用,可以滤除干扰噪声或进行频谱分析。换句话说,凡是可以使信号中特定的频率成分通过,而极大地衰减或抑制其他频率成分的装置或系统都称之为滤波器。滤波器,是对波进行过滤的器件。“波”是一个非常广泛的物理概念,在电子技术领域,“波”被狭义地局限于特指描述各种物理量的取值随时间起伏变化的过程。该过

芯城品牌采购网

9355

ACPS简介KBCPS即“ACPS”是低压电器中的新型产品,作为新的大类产品,其产品类别代号为“CPS”,是英文“ControlandProtectiveSwitchingDevice”的缩写。CPS符合的标准:IEC60947—6—2:(2002)《低压开关设备和控制设备第6部分多功能电器第2节控制与保护开关电器》和GB14048.9—1998《低压开关设备和控制设备多功能电器:控制与保护开关电

芯城品牌采购网

10586

BGA测试仪产品特点支持GPIB外围设备扩展功能。模块化设计,为扩展多种功能提供了测试平台。BoardView功能可即时显示不良脚位,针点位置,方便检修。测试程序全部自动生成并ATPD(AutoTestProgramDebug)。PTI818BGA测试仪系统具自我诊断功能及远端监控和遥控功能。完整丰富的测试统计资料及报表,且自动储存,不因断电而遗失数据。丰富的测试信号源及ReedRelaySwit

芯城品牌采购网

10193

电阻-芯城品牌采购网

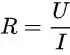
电阻简介金属导体中的电流是自由电子定向移动形成的。自由电子在运动中要与金属正离子频繁碰撞,每秒钟的碰撞次数高达1015左右。这种碰撞阻碍了自由电子的定向移动,表示这种阻碍作用的物理量叫作电阻。不但金属导体有电阻,其他物体也有电阻。导体的电阻是由它本身的物理条件决定的,金属导体的电阻是由它的材料性质、长短、粗细(横截面积)以及使用温度决定的。电阻是描述导体导电性能的物理量,用R表示。电阻由导体两端的

芯城品牌采购网

8694

LED球泡灯产品介绍LED球泡灯是替代传统白炽灯泡的新型节能灯具。传统白炽灯(钨丝灯)耗能高、寿命短,在全球资源紧张的大环境下下,已渐渐被各国政府禁止生产,随之替代产品是电子节能灯,电子节能灯虽然提高了节能效果,但由于使用了诸多污染环境的重金属元素,又有悖于环境保护的大趋势。LED球泡灯采用了现有的接口方式,即螺口、插口方式(E26\E27\E14\B22等),甚至为了符合人们的使用习惯模仿了白炽

芯城品牌采购网

7012

2FSK简介数字频率调制又称频移键控(FSK),二进制频移键控记作2FSK。数字频移键控是用载波的频率来传送数字消息,即用所传送的数字消息控制载波的频率。二进制频移键控(2FSK)是通过对两个不同载波信号进行变换使其成为数字信号来完成信息传输的。是用载波频率的变化来表征被传信息的状态的,被调载波的频率随二进制序列0、1状态而变化。2FSK信号便是符号“0”对应于载频f1,而符号“1”对应于载频f2

芯城品牌采购网

9315

电阻率-芯城品牌采购网

电阻率概述电阻率是用来表示各种物质电阻特性的物理量。某种材料制成的长1米、横截面积是1平方米的在常温下(20℃时)导线的电阻,叫做这种材料的电阻率。电阻率与导体的长度、横截面积等因素无关,是导体材料本身的电学性质,由导体的材料决定,且与温度有关。 电阻率在国际单位制中的单位是Ω·m,读作欧姆米,简称欧米。常用单位为“欧姆·厘米”。  电阻率单位国际单位制中,电阻率的单位是欧姆·米(Ω·m或ohmm

芯城品牌采购网

11208

6芯多模光缆传输传输方面6芯多模光缆主要是以单模和多模两种规格。单模(内径是9μm外径是125μm)多模(有两种,分别是内径是62.5μm外径是125μm和内径是50μm外径是125μm),单模是一种长距离传输的模式,波长是1310和1550两种;多模是一种短距离传输的模式(传输距离限制在2000米以内),波长是850和1300两种。(广泛应用的是单模,而多模正在逐渐的淘汰中)6芯多模光缆型号在型

芯城品牌采购网

11935

12芯室外光缆传输传输方面12芯室外光缆主要是以单模和多模两种规格。单模(内径是9μm外径是125μm)多模(有两种,分别是内径是62.5μm外径是125μm和内径是50μm外径是125μm),单模是一种长距离传输的模式,波长是1310和1550两种;多模是一种短距离传输的模式(传输距离限制在2000米以内),波长是850和1300两种。(现在广泛应用的是单模,而多模正在逐渐的淘汰中)12芯室外光

芯城品牌采购网

7748

12芯室内光缆传输传输方面12芯室内光缆主要是以单模和多模两种规格。单模(内径是9μm外径是125μm)多模(有两种,分别是内径是62.5μm外径是125μm和内径是50μm外径是125μm),单模是一种长距离传输的模式,波长是1310和1550两种;多模是一种短距离传输的模式(传输距离限制在2000米以内),波长是850和1300两种。(现在广泛应用的是单模,而多模正在逐渐的淘汰中)12芯室内光

芯城品牌采购网

9773

AAS光谱仪使用方法电子计算机技术引入原子吸收光谱仪后,性能较好的仪器一般都由微机来控制操作,但由于仪器的型号不同,使用方法也不尽一致。现以美国ATIUNICAM公司生产的Solaar-929型原子吸收光谱仪为例,介绍原子吸收光谱仪的使用方法。1.打开主机,计算机进入Windows窗口,选择Solaar-929光标连续压两下,进入此页面,进入Spectmeter中的Lamp,设定所需用的灯及灯电流

芯城品牌采购网

7768

36芯光缆简介36芯光缆是内置有36根光纤(成分是二氧化硅,石英玻璃)的通讯线缆。拥有多种结构型号以及两种传输模式,是利用比较广泛的通讯光缆。36芯光缆主要参数技术特点:低损耗低色散结构紧凑良好的综合机械性能应用范围:适用于长途通信和局间通信敷设方式:架空管道直埋允许弯曲半径:敷设时20倍缆径工作时10倍缆径允许拉力(N):长期:800短期:2500允许侧压力(N/100mm):长期:800短期:

芯城品牌采购网

5907

AD8130简介AD8129/AD8130均为配合AD8131或AD8132驱动器工作,在双绞线电缆上实现高速信号传输的接收器。两款器件均可用于模拟或数字视频信号及高速数据传输。AD8129/AD8130均为差分至单端放大器,在高频时具有极高的共模抑制比(CMRR)。因此,这些器件也可以有效地用作高速仪表放大器,或用于将差分信号转换为单端信号。AD8130技术特性高速AD8130:270MHz,1

芯城品牌采购网

7446

10100M光纤收发器简介(光电转换器)由光纤收发器和内置电源组成;用于10Base-T或100Base-TX双绞线与100Base-FX光缆之间数据通讯;该款光收发器适合作智能化小区或光纤到桌面的连接器,光纤收发器将网络传输距离的极限从双绞线的100米扩展到了100公里以上,光纤收发器可以简单地实现一台主板服务器、中继器、集线器、交换机、终端机与一台终端机之间的互联。10100M光纤收发器功能特

芯城品牌采购网

7785

BGA封装介绍20世纪90年代随着技术的进步,芯片集成度不断提高,I/O引脚数急剧增加,功耗也随之增大,对集成电路封装的要求也更加严格。为了满足发展的需要,BGA封装开始被应用于生产。该技术的出现成为CPU、主板南、北桥芯片等高密度、高性能、多引脚封装的最佳选择。BGA封装的I/O端子以圆形或柱状焊点按阵列形式分布在封装下面,BGA技术的优点是I/O引脚数虽然增加了,但引脚间距并没有减小反而增加了

芯城品牌采购网

9423

3V锂锰扣式电池特性优势这种电池为一次性电池,锂锰电池比容量高(同等体积的电池比其他一次电池如碱锰电池的容量要高),电压高,体积小,通常用在一些比较小且薄的电子产品里面,如超薄遥控器,计算器等。又因为存放时间长,电压稳定性好,所以经常用在一些产品的后备记忆电源里,如电脑主板的时钟电源纽扣电池座里。3V锂锰扣式电池型号一般型号用CR代替,比较常见的有CR2032。CR2025,CR2016等等;3V

芯城品牌采购网

9390

9V碱性电池主要用途一般9V电池用在报警器,遥控玩具,无线门铃,无线耳机,万用表等产品上。9V碱性电池注意事项请依照电器说明正确放好正负位置 电池不使用时,请将电池取出本电池请勿充电,加热或暴露于火房 请勿与普通(碳锌)电池混在一起使用 更换电池,应全部更新,勿将新旧电池混合使用国内资深电池应用专业服务商。9V碱性电池寿命寿命有标准的,电池存放有自放电,一般市售碱性9v6f22大多数是3到5年,有

芯城品牌采购网

11210

ACPL-P314品牌介绍avago是高性能的混和信号和数字信号处理的IC,它的产品分为放大器和比较器、数模/模数转换器、嵌入式处理与DSP、模拟微控制器、RF和IF器件、电源和散热管理、音频和视频产品、宽带产品、接口器件、基准源、开关和多路复用器、无线产品。ACPL-P314型号介绍这些光电耦合器非常适合用来驱动电机控制变频应用中的功率IGBT和MOSFET,输出级的高工作电压范围提供了门控器件

芯城品牌采购网

6205

9V锂电池简介9V锂电池是指用三个锂二氧化锰电池的电芯组合成,最大尺寸高度为48.5mm、长度为26.5mm、厚度为17.5mm,标称电池为9V的锂原电池。容量可以达到1200mAh,在常温下保存期超过十年,年自放电在2%以下。广泛应用于烟感报警器,一氧化碳报警器等对电池寿命要求时间长,不易更换的产品上。同时也是代替优质9V碱性电池(6LR61)的首选。9V锂电池优点这种电池的容量高,相当于碳性电

芯城品牌采购网

10414

AD7862特点(1)对每一个通道而言,从启动转换到转换完成需要3.6μs的时间。(2)芯片由5V单电源供电,功耗低,工作时典型值为60mW。具有自动休眠模式,当一次转换完成后自动进入休眠模式,节省电能。当下一个转换周期来临时在自动苏醒。(3)提供一个高速并行接口,和微处理器、微控制器以及数字信号处理器的连接变得容易。(4)AD7862系列共有三个版本分别针对三种不同的输入范围。其中AD7862-

芯城品牌采购网

12755

2835灯珠介绍2835灯珠是中功率贴片超亮发光二极管,有0.1W0.2W和0.5W.因其尺寸为2.8(长)×3.5(宽)×0.8(厚)mm,固按照帖片LED灯珠尺寸命名方法,命名为2835灯珠。  功率:0.1W,白光/蓝光/绿光等电压:2.8-3.6V之间,红光和黄光电压1.8-2.3V。电流30mA,白光光通量10-15LM.  功率:0.2W,白光/蓝光/绿光等电压:2.8-3.6V之间,

芯城品牌采购网

10701

蓄电池-芯城品牌采购网

蓄电池简介蓄电池(StorageBattery)是将化学能直接转化成电能的一种装置,是按可再充电设计的电池,通过可逆的化学反应实现再充电,通常是指铅酸蓄电池,它是电池中的一种,属于二次电池。它的工作原理:充电时利用外部的电能使内部活性物质再生,把电能储存为化学能,需要放电时再次把化学能转换为电能输出,比如生活中常用的手机电池等。它用填满海绵状铅的铅基板栅(又称格子体)作负极,填满二氧化铅的铅基板栅

芯城品牌采购网

15267

阻尼电阻工作原理阻尼电阻的原理是在自激振荡产生后,电位必定上升,在电路中加入阻尼电阻就可以抑制这上升的电压,就可以阻止自激振荡的产生。阻尼电阻作用为了有效吸收整流变压器二次回路的高次谐波成分,防止输出回路发生谐振,有效保护整流变压器,在整流变压器输出端必须设置阻尼电阻。在任何情况下,绝对不允许将整流变压器输出不经阻尼电阻直接与电场相连。电除尘器整流变压器匹配阻尼电阻的参数大小,目前国家还没有统一标

芯城品牌采购网

13630

2D灯工作原理工作原理及人眼视觉效应:三基色扁叶灯属于低压气体放电灯,其工作原理和日光灯一样,灯管通电后发射电子和灯管内的汞形成内部电路回路。灯管内的汞原子在与惰性气体碰撞后放电,激发出253.7nm的紫外线,紫外线被三基色荧光粉吸收转化成可见光。荧光粉分红、绿、蓝三基色粉和卤磷酸钙粉(普通白色荧光灯),三基色灯与卤粉灯相比,识别相同的对象,如果白色荧光灯需要“1”,三基色灯只需要“0.7”,其原

芯城品牌采购网

6495